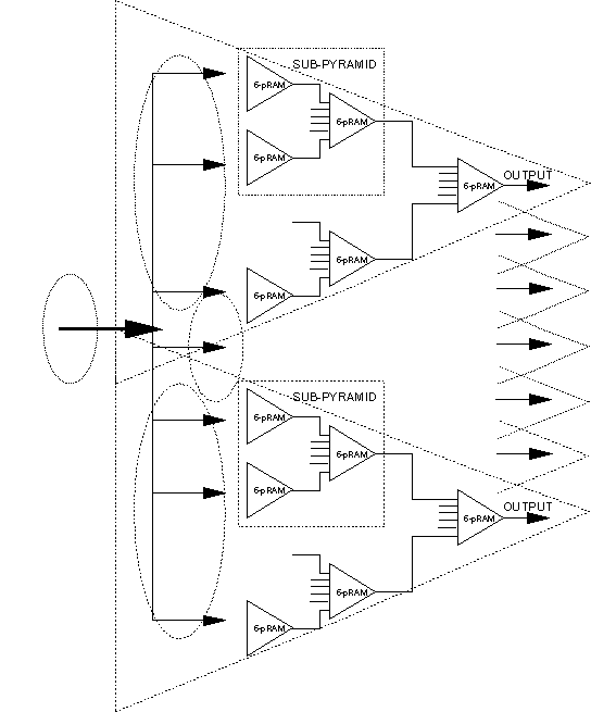
Training Pyramidal Structures

A number (N) of full pyramids, each receiving the same input vector can be used to discriminate between N different classes of input.

TRAINING

A reward might be given to all pRAMs in a pyramid when the output of that pyramid is correct;
a penalty could be given otherwise.

The reward or penalty inputs can be generated probabilistically to indicate a reward or penalty in the range 0 to 1.

 

More data


T G Clarkson, August 1995